Официальное опубликование правовых актов
ОФИЦИАЛЬНОЕ ОПУБЛИКОВАНИЕ
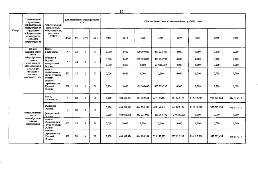
Постановление Администрации Курской области от 29.04.2021 № 457-па
"О внесении изменений в государственную программу Курской области "Создание новых мест в общеобразовательных организациях Курской области в соответствии с прогнозируемой потребностью и современными условиями обучения"
Номер опубликования: 4600202105030001
Дата опубликования: 03.05.2021
Страница №13 из 16:
Увеличить