Официальное опубликование правовых актов
ОФИЦИАЛЬНОЕ ОПУБЛИКОВАНИЕ
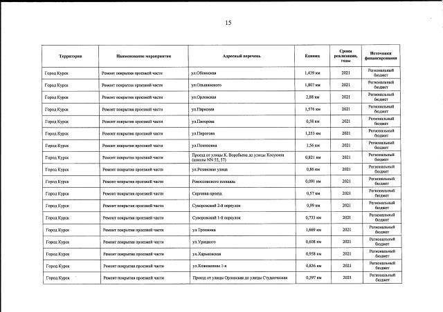
Постановление Администрации Курской области от 20.04.2021 № 388-па
"Об утверждении Программы комплексного развития транспортной инфраструктуры Курской области"
Номер опубликования: 4600202104210014
Дата опубликования: 21.04.2021
Страница №16 из 64:
Увеличить