Официальное опубликование правовых актов
ОФИЦИАЛЬНОЕ ОПУБЛИКОВАНИЕ
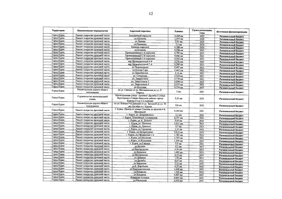
Постановление Администрации Курской области от 20.04.2021 № 389-па
"Об утверждении Программы комплексного развития транспортной инфраструктуры Курской городской агломерации"
Номер опубликования: 4600202104210010
Дата опубликования: 21.04.2021
Страница №13 из 39:
Увеличить