Официальное опубликование правовых актов
ОФИЦИАЛЬНОЕ ОПУБЛИКОВАНИЕ
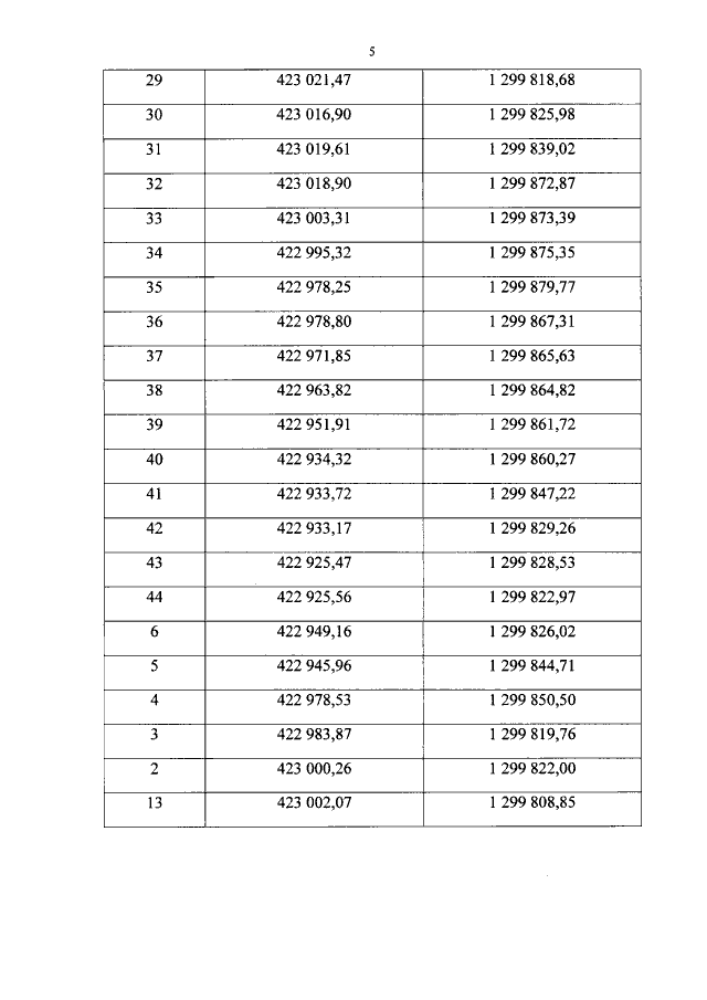
Постановление Администрации Курской области от 15.04.2021 № 364-па
"Об установлении зон охраны объекта культурного наследия регионального значения "Ансамбль Епархиального свечного завода", расположенного по адресу: Курская область, город Курск, ул. Льва Толстого, д. 13, и утверждении требований к градостроительным регламентам в границах территорий данных зон"
Номер опубликования: 4600202104150006
Дата опубликования: 15.04.2021
Страница №7 из 23:
Увеличить