Официальное опубликование правовых актов
ОФИЦИАЛЬНОЕ ОПУБЛИКОВАНИЕ
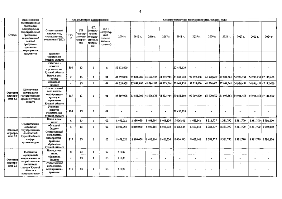
Постановление Администрации Курской области от 14.04.2021 № 362-па
"О внесении изменений в государственную программу Курской области "Развитие архивного дела в Курской области"
Номер опубликования: 4600202104150002
Дата опубликования: 15.04.2021
Страница №5 из 18:
Увеличить