Официальное опубликование правовых актов
ОФИЦИАЛЬНОЕ ОПУБЛИКОВАНИЕ
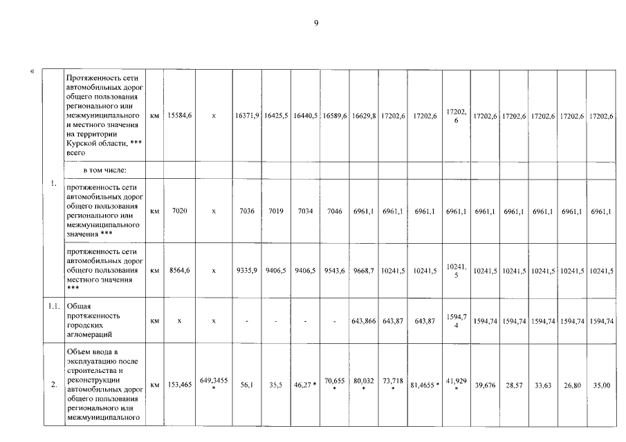
Постановление Администрации Курской области от 01.04.2021 № 326-па
"О внесении изменений в государственную программу Курской области "Развитие транспортной системы, обеспечение перевозки пассажиров в Курской области и безопасности дорожного движения"
Номер опубликования: 4600202104060008
Дата опубликования: 06.04.2021
Страница №10 из 55:
Увеличить