Официальное опубликование правовых актов
ОФИЦИАЛЬНОЕ ОПУБЛИКОВАНИЕ
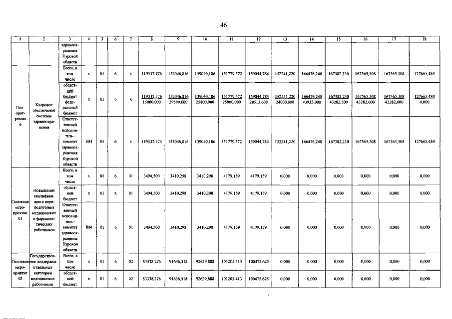
Постановление Администрации Курской области от 31.03.2021 № 318-па
"О внесении изменений в государственную программу Курской области "Развитие здравоохранения в Курской области"
Номер опубликования: 4600202104020025
Дата опубликования: 02.04.2021
Страница №47 из 75:
Увеличить