Официальное опубликование правовых актов
ОФИЦИАЛЬНОЕ ОПУБЛИКОВАНИЕ
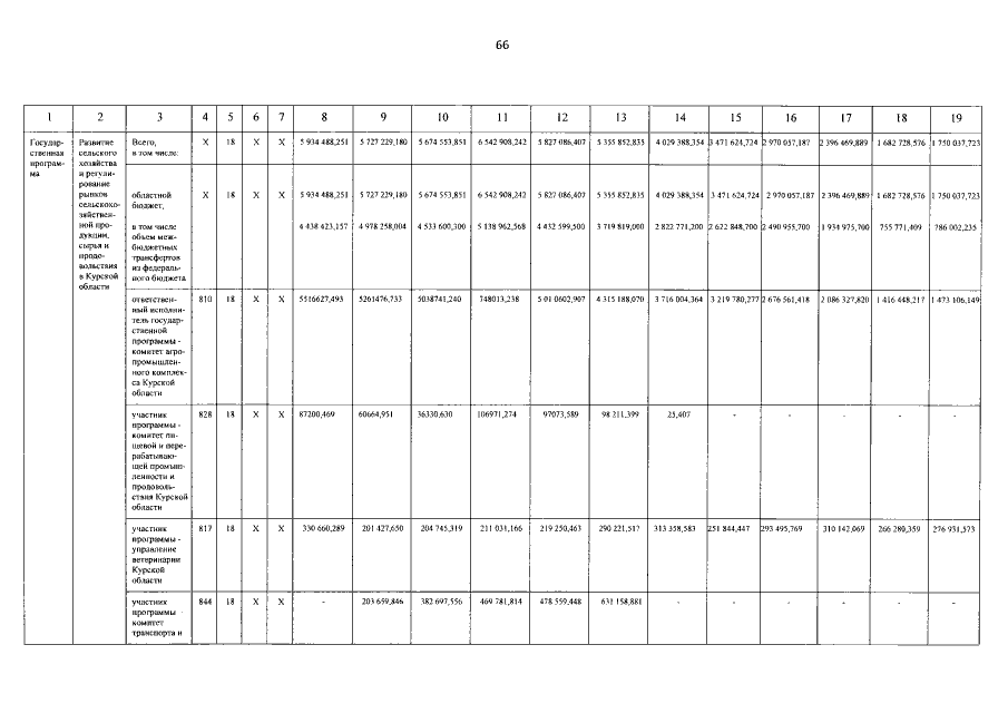
Постановление Администрации Курской области от 26.03.2021 № 284-па
"О внесении изменений в государственную программу Курской области "Развитие сельского хозяйства и регулирование рынков сельскохозяйственной продукции, сырья и продовольствия в Курской области"
Номер опубликования: 4600202103310023
Дата опубликования: 31.03.2021
Страница №67 из 133:
Увеличить