Официальное опубликование правовых актов
ОФИЦИАЛЬНОЕ ОПУБЛИКОВАНИЕ
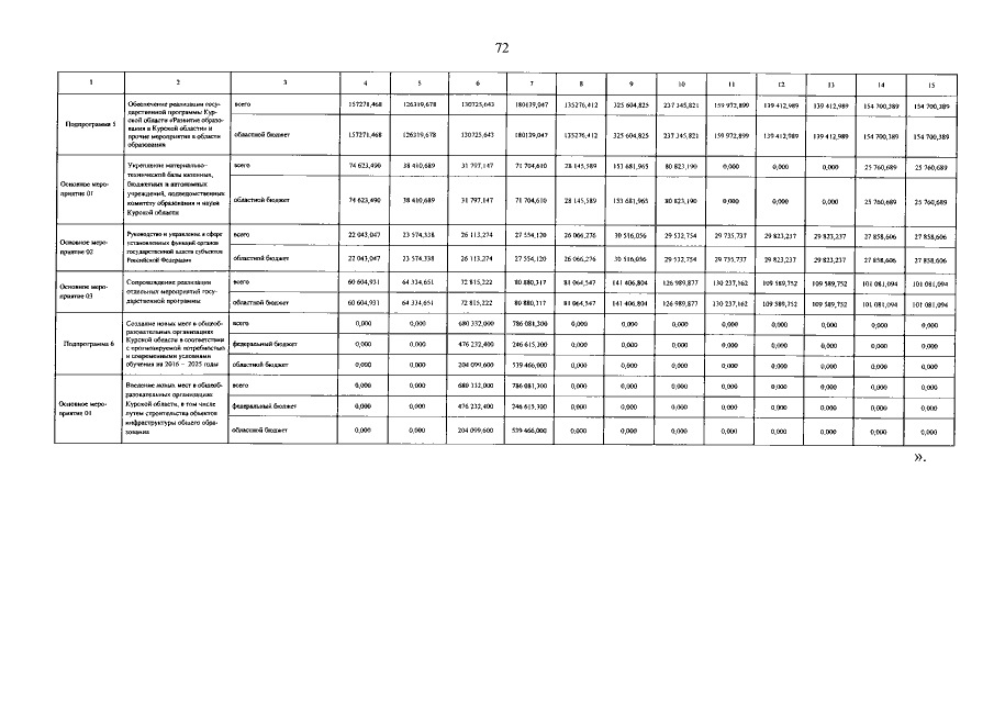
Постановление Администрации Курской области от 23.03.2021 № 250-па
"О внесении изменений в государственную программу Курской области "Развитие образования в Курской области"
Номер опубликования: 4600202103230003
Дата опубликования: 23.03.2021
Страница №73 из 74:
Увеличить