Официальное опубликование правовых актов
ОФИЦИАЛЬНОЕ ОПУБЛИКОВАНИЕ
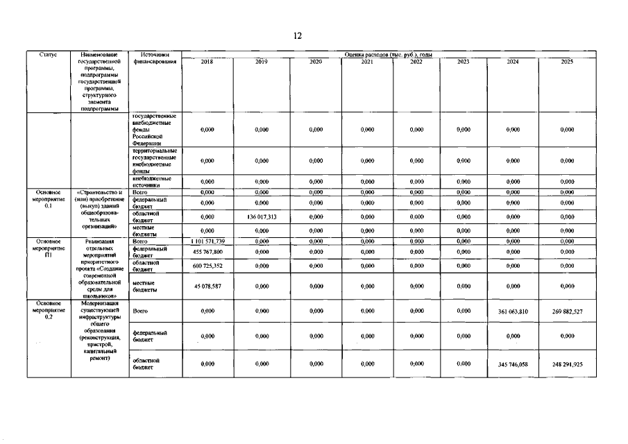
Постановление Администрации Курской области от 16.03.2021 № 218-па
"О внесении изменений в государственную программу Курской области "Создание новых мест в общеобразовательных организациях Курской области в соответствии с прогнозируемой потребностью и современными условиями обучения"
Номер опубликования: 4600202103190007
Дата опубликования: 19.03.2021
Страница №13 из 16:
Увеличить