Официальное опубликование правовых актов
ОФИЦИАЛЬНОЕ ОПУБЛИКОВАНИЕ
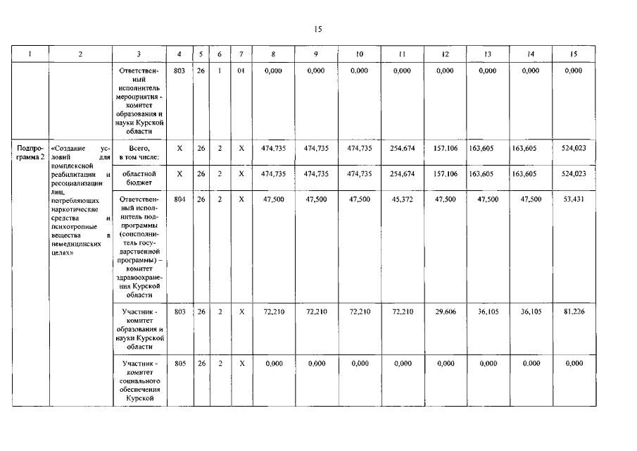
Постановление Администрации Курской области от 02.03.2021 № 173-па
"О внесении изменений в государственную программу Курской области "Профилактика правонарушений в Курской области"
Номер опубликования: 4600202103030002
Дата опубликования: 03.03.2021
Страница №16 из 35:
Увеличить