Официальное опубликование правовых актов
ОФИЦИАЛЬНОЕ ОПУБЛИКОВАНИЕ
Постановление Администрации Курской области от 18.02.2021 № 146-па
"О внесении изменений в постановление Администрации Курской области от 29.03.2019 № 259-па"
Номер опубликования: 4600202102200004
Дата опубликования: 20.02.2021
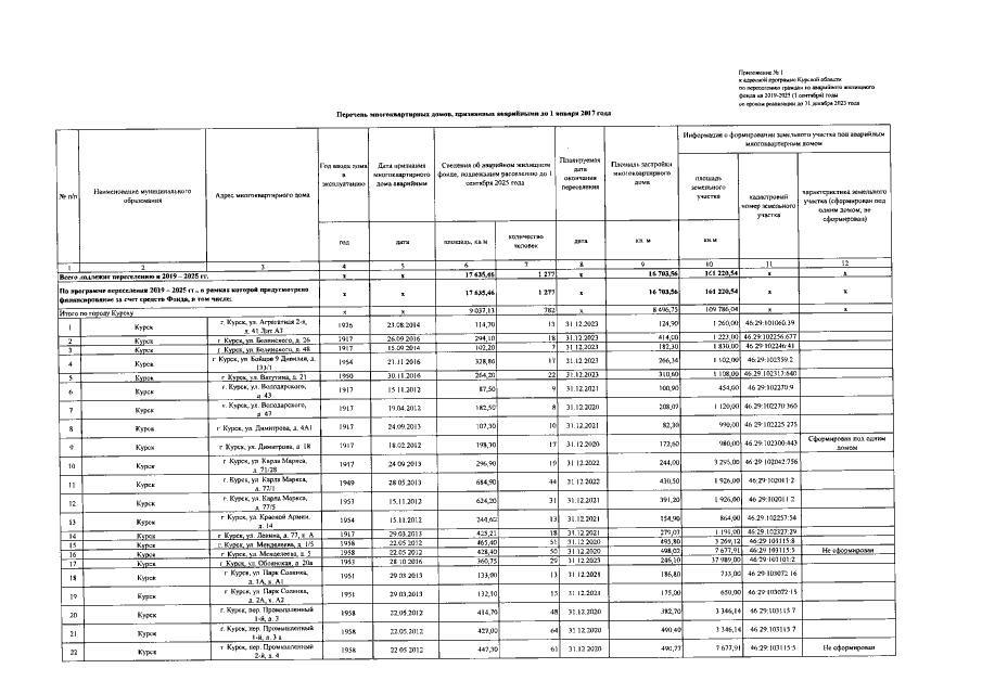
Страница №24 из 37:
Увеличить