Официальное опубликование правовых актов
ОФИЦИАЛЬНОЕ ОПУБЛИКОВАНИЕ
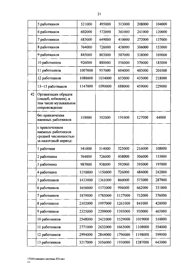
Закон Курской области от 17.02.2021 № 3-ЗКО
"О внесении изменения в статью 2 Закона Курской области "О введении на территории Курской области патентной системы налогообложения"
Номер опубликования: 4600202102180005
Дата опубликования: 18.02.2021
Страница №21 из 38:
Увеличить