Официальное опубликование правовых актов
ОФИЦИАЛЬНОЕ ОПУБЛИКОВАНИЕ
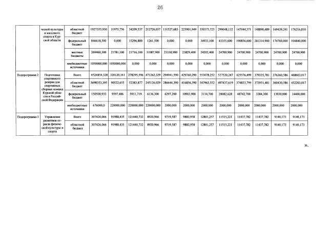
Постановление Администрации Курской области от 29.12.2020 № 1424-па
"О внесении изменений в государственную программу Курской области "Развитие физической культуры и спорта в Курской области"
Номер опубликования: 4600202012310033
Дата опубликования: 31.12.2020
Страница №27 из 27:
Увеличить