Официальное опубликование правовых актов
ОФИЦИАЛЬНОЕ ОПУБЛИКОВАНИЕ
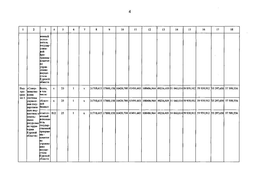
Постановление Администрации Курской области от 24.12.2020 № 1375-па
"О внесении изменений в государственную программу Курской области "Управление государственным имуществом Курской области"
Номер опубликования: 4600202012280002
Дата опубликования: 28.12.2020
Страница №5 из 12:
Увеличить