Официальное опубликование правовых актов
ОФИЦИАЛЬНОЕ ОПУБЛИКОВАНИЕ
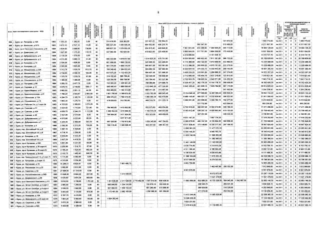
Постановление Администрации Курской области от 22.12.2020 № 1347-па
"О внесении изменений в краткосрочный план реализации Региональной программы капитального ремонта общего имущества в многоквартирных домах, расположенных на территории Курской области, на 2020-2022 годы"
Номер опубликования: 4600202012250042
Дата опубликования: 25.12.2020
Страница №9 из 34:
Увеличить