Официальное опубликование правовых актов
ОФИЦИАЛЬНОЕ ОПУБЛИКОВАНИЕ
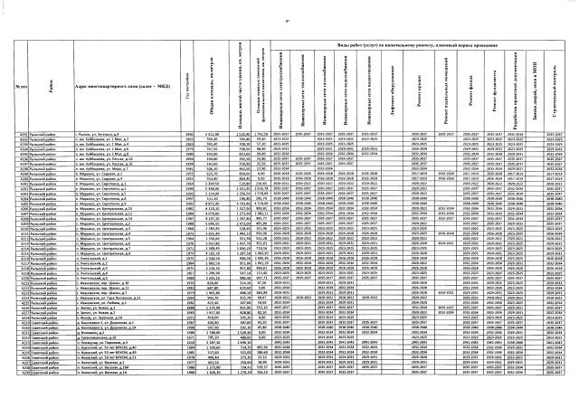
Постановление Администрации Курской области от 22.12.2020 № 1344-па
"О внесении изменений в Региональную программу капитального ремонта общего имущества в многоквартирных домах, расположенных на территории Курской области"
Номер опубликования: 4600202012230015
Дата опубликования: 23.12.2020
Страница №88 из 97:
Увеличить