Официальное опубликование правовых актов
ОФИЦИАЛЬНОЕ ОПУБЛИКОВАНИЕ
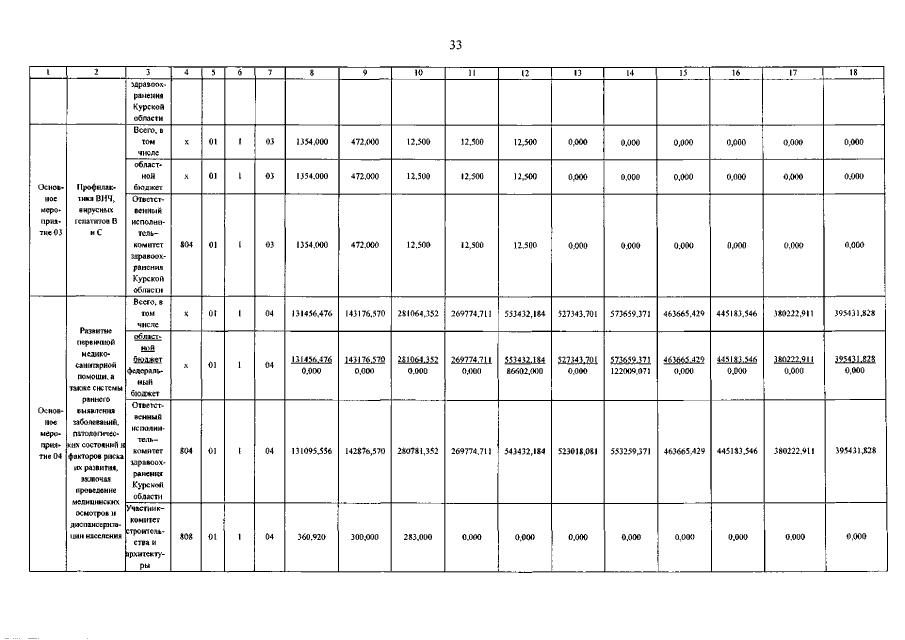
Постановление Администрации Курской области от 10.12.2020 № 1273-па
"О внесении изменений в государственную программу Курской области "Развитие здравоохранения в Курской области"
Номер опубликования: 4600202012170003
Дата опубликования: 17.12.2020
Страница №34 из 69:
Увеличить