Официальное опубликование правовых актов
ОФИЦИАЛЬНОЕ ОПУБЛИКОВАНИЕ
Постановление Администрации Курской области от 11.12.2020 № 1276-па
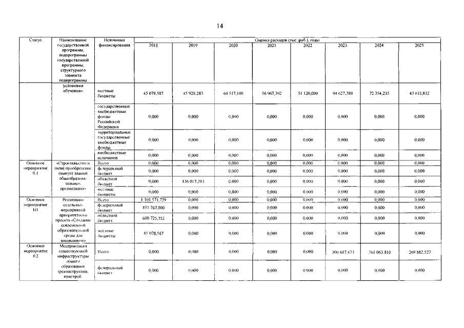
"О внесении изменений в государственную программу Курской области "Создание новых мест в общеобразовательных организациях Курской области в соответствии с прогнозируемой потребностью и современными условиями обучения"
Номер опубликования: 4600202012170001
Дата опубликования: 17.12.2020
Страница №16 из 20:
Увеличить