Официальное опубликование правовых актов
ОФИЦИАЛЬНОЕ ОПУБЛИКОВАНИЕ
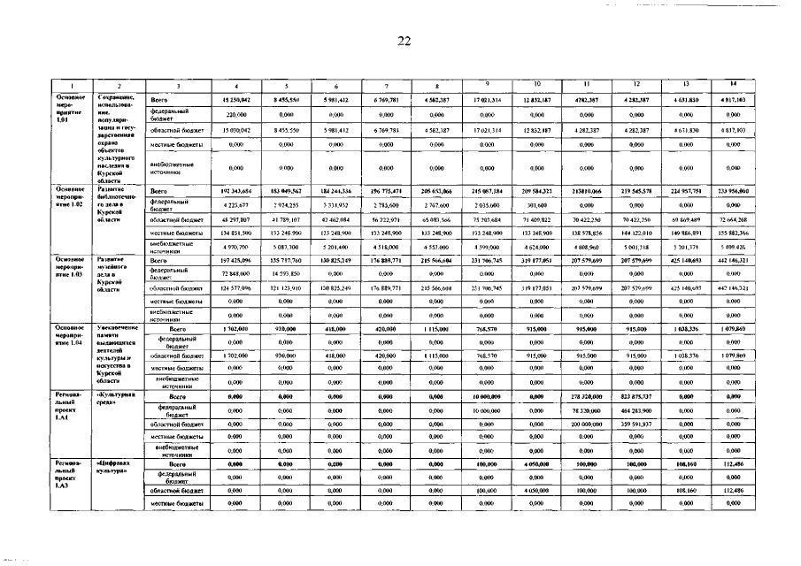
Постановление Администрации Курской области от 10.12.2020 № 1274-па
"О внесении изменений в государственную программу Курской области "Развитие культуры в Курской области"
Номер опубликования: 4600202012150002
Дата опубликования: 15.12.2020
Страница №23 из 62:
Увеличить