Официальное опубликование правовых актов
ОФИЦИАЛЬНОЕ ОПУБЛИКОВАНИЕ
Постановление Администрации Курской области от 25.11.2020 № 1181-па
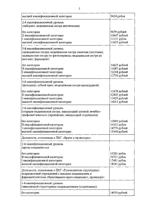
"О внесении изменений в постановление Правительства Курской области от 24.05.2010 № 69-пп "О введении новой системы оплаты труда работников областных бюджетных, автономных и казенных учреждений, подведомственных комитету социального обеспечения, материнства и детства Курской области"
Номер опубликования: 4600202012010003
Дата опубликования: 01.12.2020
Страница №3 из 27:
Увеличить