Официальное опубликование правовых актов
ОФИЦИАЛЬНОЕ ОПУБЛИКОВАНИЕ
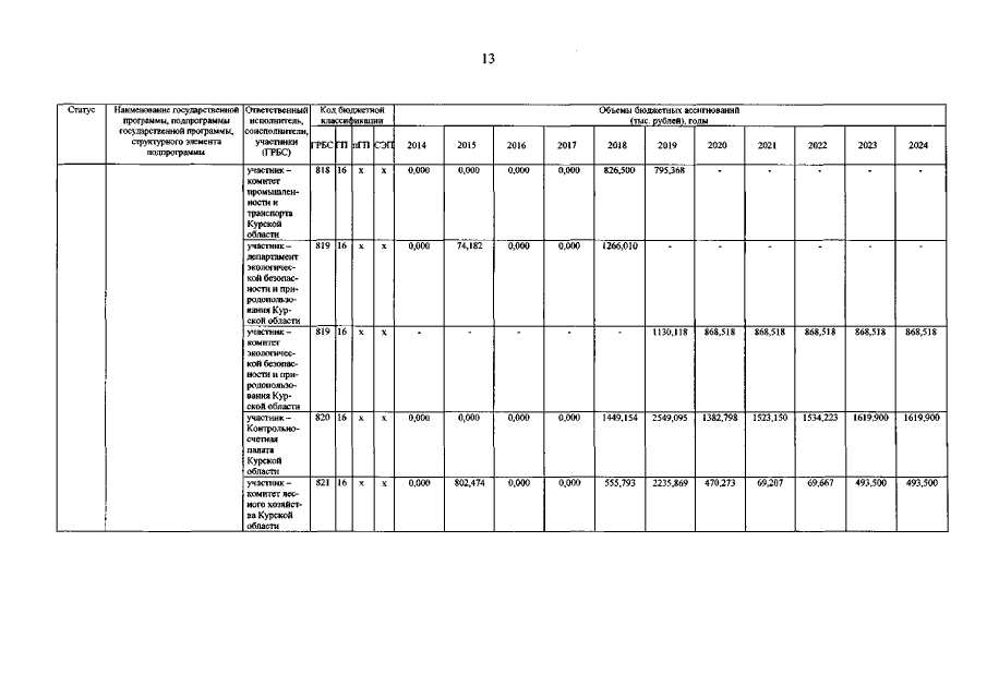
Постановление Администрации Курской области от 25.11.2020 № 1179-па
"О внесении изменений в государственную программу Курской области "Развитие информационного общества в Курской области"
Номер опубликования: 4600202012010002
Дата опубликования: 01.12.2020
Страница №14 из 58:
Увеличить