Официальное опубликование правовых актов
ОФИЦИАЛЬНОЕ ОПУБЛИКОВАНИЕ
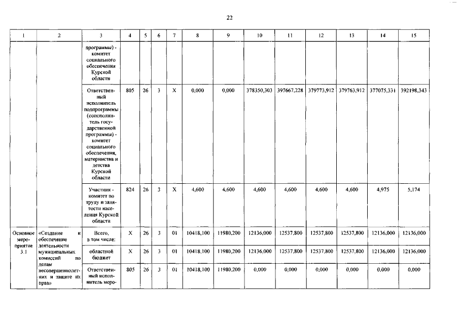
Постановление Администрации Курской области от 13.11.2020 № 1123-па
"О внесении изменений в государственную программу Курской области "Профилактика правонарушений в Курской области"
Номер опубликования: 4600202011190012
Дата опубликования: 19.11.2020
Страница №23 из 36:
Увеличить