Официальное опубликование правовых актов
ОФИЦИАЛЬНОЕ ОПУБЛИКОВАНИЕ
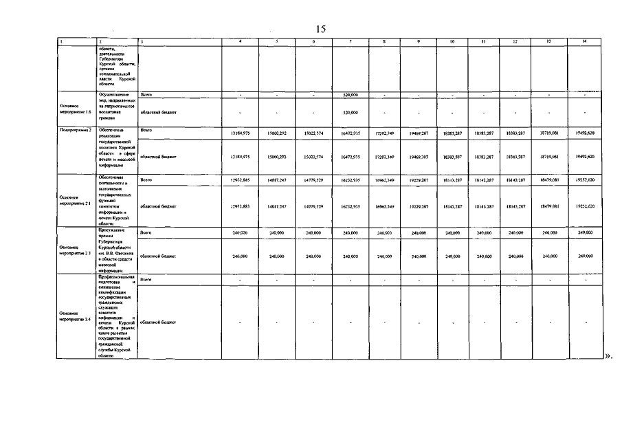
Постановление Администрации Курской области от 13.11.2020 № 1122-па
"О внесении изменений в государственную программу Курской области "Реализация государственной политики в сфере печати и массовой информации в Курской области"
Номер опубликования: 4600202011180002
Дата опубликования: 18.11.2020
Страница №16 из 16:
Увеличить