Официальное опубликование правовых актов
ОФИЦИАЛЬНОЕ ОПУБЛИКОВАНИЕ
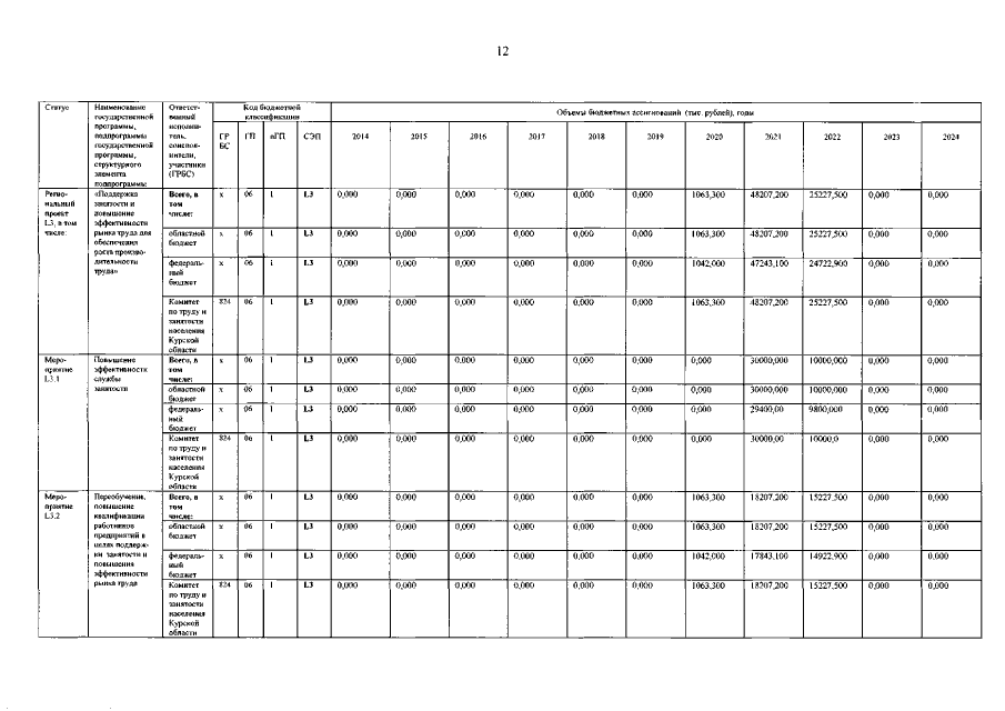
Постановление Администрации Курской области от 30.10.2020 № 1086-па
"О внесении изменений в государственную программу Курской области "Содействие занятости населения в Курской области"
Номер опубликования: 4600202011030004
Дата опубликования: 03.11.2020
Страница №13 из 22:
Увеличить