Официальное опубликование правовых актов
ОФИЦИАЛЬНОЕ ОПУБЛИКОВАНИЕ
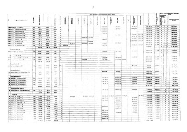
Постановление Администрации Курской области от 27.10.2020 № 1070-па
"О внесении изменений в краткосрочный план реализации Региональной программы капитального ремонта общего имущества в многоквартирных домах, расположенных на территории Курской области, на 2017-2019 годы"
Номер опубликования: 4600202010280002
Дата опубликования: 28.10.2020
Страница №15 из 16:
Увеличить