Официальное опубликование правовых актов
ОФИЦИАЛЬНОЕ ОПУБЛИКОВАНИЕ
Постановление Администрации Курской области от 16.10.2020 № 1039-па
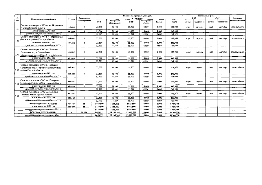
"Об утверждении Программы газификации Курской области на 2021 год, финансируемой за счет средств специальной надбавки к тарифам на транспортировку газа по газораспределительным сетям"
Номер опубликования: 4600202010190001
Дата опубликования: 19.10.2020
Страница №11 из 11:
Увеличить