Официальное опубликование правовых актов
ОФИЦИАЛЬНОЕ ОПУБЛИКОВАНИЕ
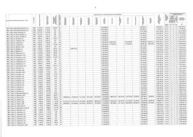
Постановление Администрации Курской области от 24.08.2020 № 857-па
"О внесении изменений в краткосрочный план реализации Региональной программы капитального ремонта общего имущества в многоквартирных домах, расположенных на территории Курской области, на 2020 - 2022 годы"
Номер опубликования: 4600202008270019
Дата опубликования: 27.08.2020
Страница №10 из 33:
Увеличить