Официальное опубликование правовых актов
ОФИЦИАЛЬНОЕ ОПУБЛИКОВАНИЕ
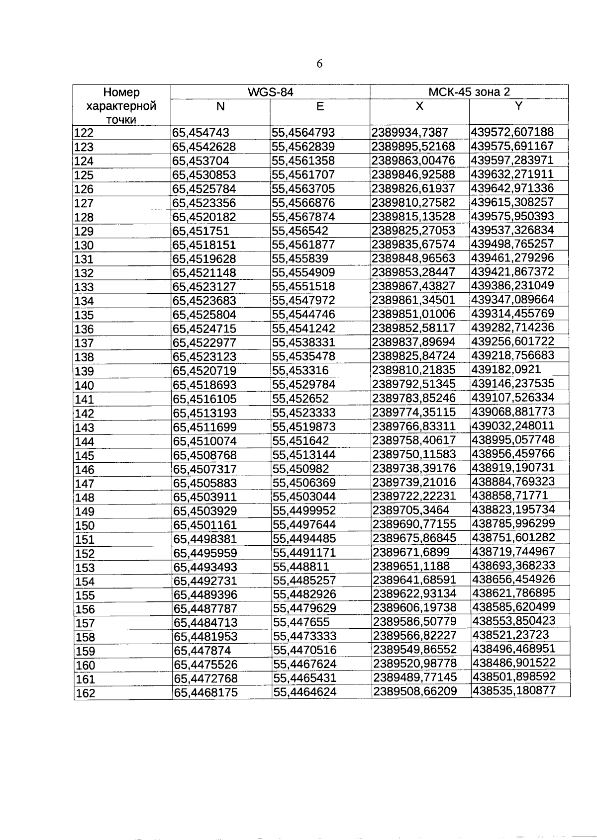
Приказ Департамента гражданской защиты, охраны окружающей среды и природных ресурсов Курганской области от 16.12.2025 № 350
"Об утверждении местоположения береговой линии озера Зимник в границах муниципального образования город Курган Курганской области"
(Зарегистрирован 16.12.2025 № 250320350)
Номер опубликования: 4501202512180001
Дата опубликования: 18.12.2025
Страница №6 из 6:
Увеличить