Официальное опубликование правовых актов
ОФИЦИАЛЬНОЕ ОПУБЛИКОВАНИЕ
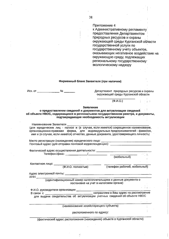
Приказ Департамента природных ресурсов и охраны окружающей среды Курганской области от 04.12.2020 № 528
"Об утверждении Административного регламента предоставления Департаментом природных ресурсов и охраны окружающей среды Курганской области государственной услуги по государственному учету объектов, оказывающих негативное воздействие на окружающую среду и подлежащих региональному государственному экологическому надзору"
Номер опубликования: 4501202012070002
Дата опубликования: 07.12.2020
Страница №38 из 41:
Увеличить