Приказ Департамента природных ресурсов и охраны окружающей среды Курганской области от 29.01.2020 № 40
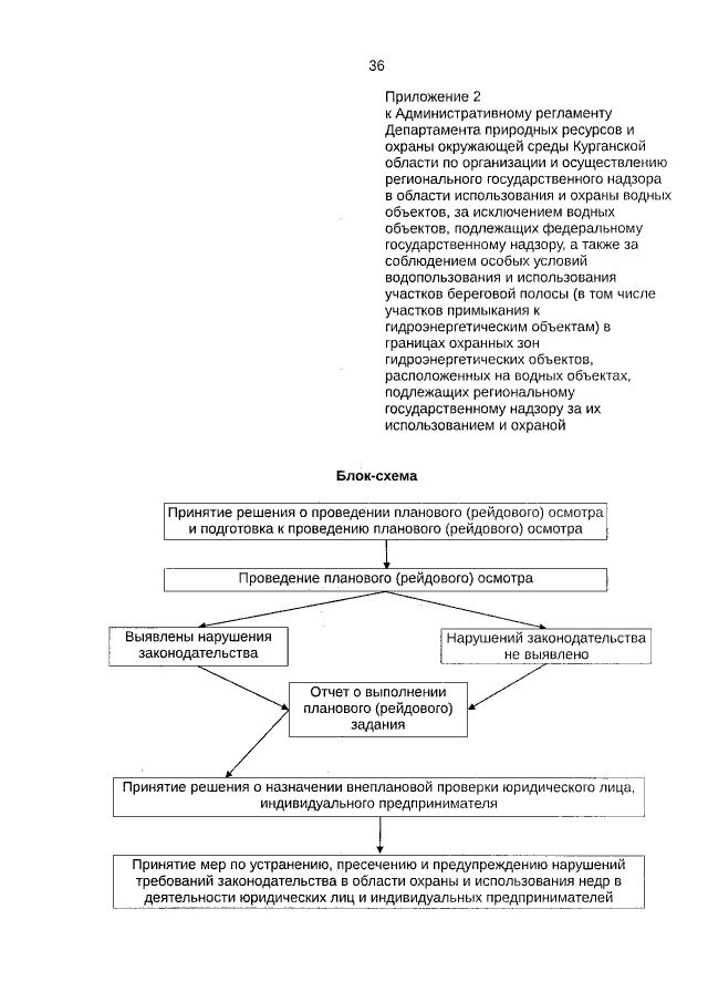
"Об утверждении Административного регламента Департамента природных ресурсов и охраны окружающей среды Курганской области по организации и осуществлению регионального государственного надзора в области использования и охраны водных объектов, за исключением водных объектов, подлежащих федеральному государственному надзору, а также за соблюдением особых условий водопользования и использования участков береговой полосы (в том числе участков примыкания к гидроэнергетическим объектам) в границах охранных зон гидроэнергетических объектов, расположенных на водных объектах, подлежащих региональному государственному надзору за их использованием и охраной"
"Об утверждении Административного регламента Департамента природных ресурсов и охраны окружающей среды Курганской области по организации и осуществлению регионального государственного надзора в области использования и охраны водных объектов, за исключением водных объектов, подлежащих федеральному государственному надзору, а также за соблюдением особых условий водопользования и использования участков береговой полосы (в том числе участков примыкания к гидроэнергетическим объектам) в границах охранных зон гидроэнергетических объектов, расположенных на водных объектах, подлежащих региональному государственному надзору за их использованием и охраной"
Номер опубликования: 4501202001310001
Дата опубликования:
31.01.2020
