Официальное опубликование правовых актов
ОФИЦИАЛЬНОЕ ОПУБЛИКОВАНИЕ
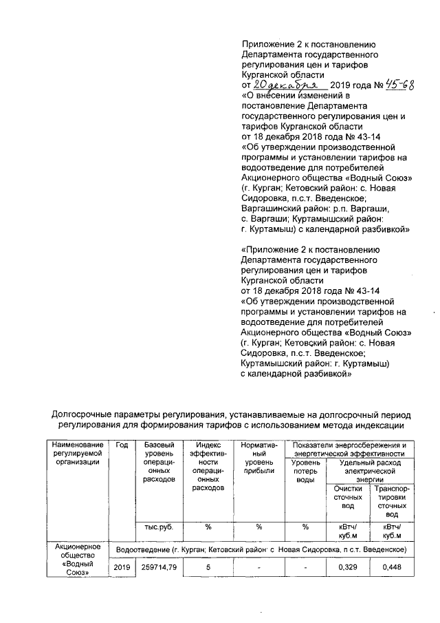
Постановление Департамента государственного регулирования цен и тарифов Курганской области от 20.12.2019 № 45-68
"О внесении изменений в постановление Департамента государственного регулирования цен и тарифов Курганской области от 18 декабря 2018 года № 43-14 "Об утверждении производственной программы и установлении тарифов на водоотведение для потребителей Акционерного общества "Водный Союз" (г. Курган; Кетовский район: с. Новая Сидоровка, п.с.т. Введенское; Варгашинский район: р.п. Варгаши, с. Варгаши; Куртамышский район: г. Куртамыш) с календарной разбивкой"
Номер опубликования: 4501201912270029
Дата опубликования: 27.12.2019
Страница №5 из 6:
Увеличить