Официальное опубликование правовых актов
ОФИЦИАЛЬНОЕ ОПУБЛИКОВАНИЕ
Постановление Департамента государственного регулирования цен и тарифов Курганской области от 24.09.2019 № 30-3
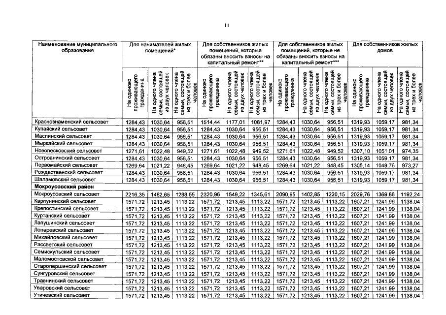
"О внесении изменений в постановление Департамента государственного регулирования цен и тарифов Курганской области от 19 декабря 2018 года № 44-54 "Об установлении размеров региональных стандартов стоимости жилищно-коммунальных услуг по муниципальным образованиям Курганской области на 2019 год"
Номер опубликования: 4501201909260006
Дата опубликования: 26.09.2019
Страница №11 из 25:
Увеличить