Официальное опубликование правовых актов
ОФИЦИАЛЬНОЕ ОПУБЛИКОВАНИЕ
Приказ Главного управления социальной защиты населения Курганской области от 22.05.2019 № 214
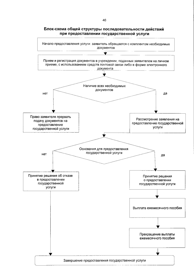
"Об утверждении Административного регламента предоставления государственной услуги по назначению и выплате ежемесячного пособия родителям лиц, погибших (умерших) вследствие выполнения задач в условиях вооруженного конфликта в Чеченской Республике, в ходе контртеррористических операций на территории Северо-Кавказского региона, при выполнении задач в условиях чрезвычайного положения и при вооруженных конфликтах на территориях государств Закавказья, Прибалтики, Республики Таджикистан"
Номер опубликования: 4501201905230009
Дата опубликования: 23.05.2019
Страница №46 из 50:
Увеличить