Официальное опубликование правовых актов
ОФИЦИАЛЬНОЕ ОПУБЛИКОВАНИЕ
Приказ Главного управления социальной защиты населения Курганской области от 22.05.2019 № 213
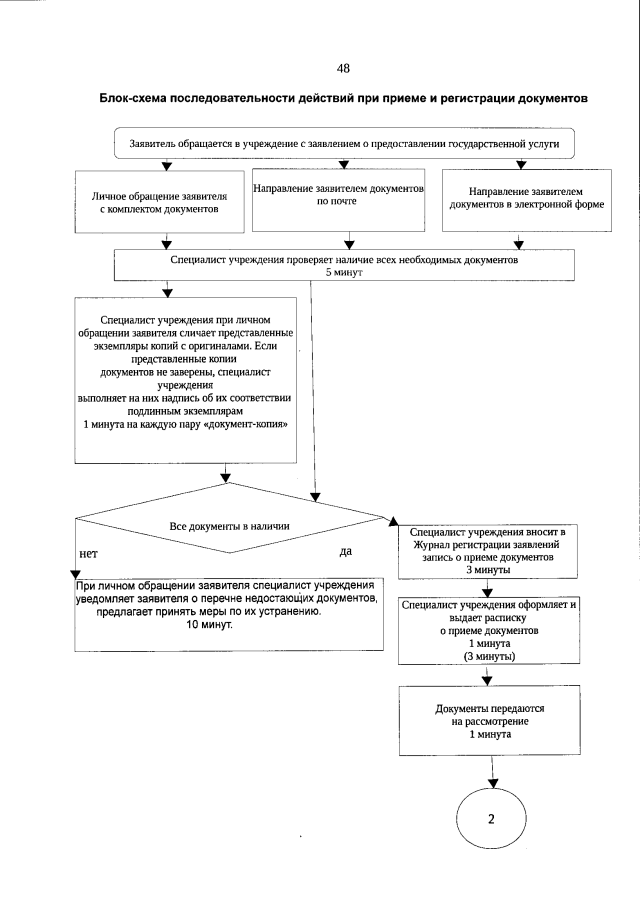
"Об утверждении Административного регламента предоставления государственных услуг по назначению и выплате единовременного денежного пособия матерям, награжденным знаком отличия Курганской области "Материнская слава", и компенсации стоимости проезда к месту оказания лечебно-консультативной помощи и обратно по направлению Департамента здравоохранения Курганской области малоимущим гражданам, а также лицам, сопровождающим малоимущих граждан, в случае наличия соответствующего заключения Департамента здравоохранения Курганской области"
Номер опубликования: 4501201905230008
Дата опубликования: 23.05.2019
Страница №48 из 50:
Увеличить