Официальное опубликование правовых актов
ОФИЦИАЛЬНОЕ ОПУБЛИКОВАНИЕ
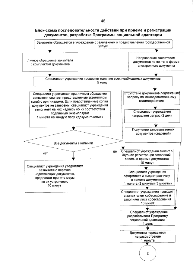
Приказ Главного управления социальной защиты населения Курганской области от 22.05.2019 № 212
"Об утверждении Административного регламента предоставления государственной услуги по назначению государственной социальной помощи на улучшение питания малоимущим семьям, воспитывающим восемь и более несовершеннолетних детей, в том числе усыновленных и приемных"
Номер опубликования: 4501201905230003
Дата опубликования: 23.05.2019
Страница №46 из 53:
Увеличить