Официальное опубликование правовых актов
ОФИЦИАЛЬНОЕ ОПУБЛИКОВАНИЕ
Приказ Главного управления социальной защиты населения Курганской области от 29.04.2019 № 189
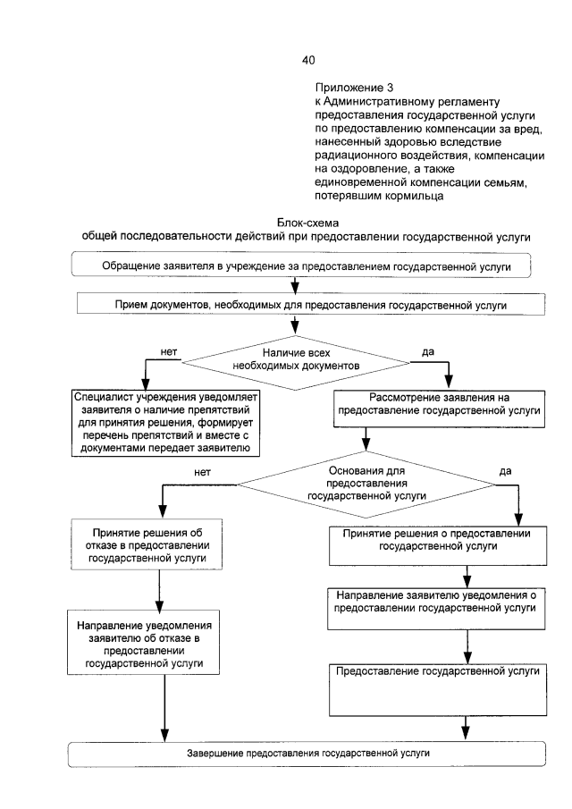
"Об утверждении Административного регламента предоставления государственной услуги по предоставлению компенсации за вред, нанесенный здоровью вследствие радиационного воздействия, компенсации на оздоровление, а также единовременной компенсации семьям, потерявшим кормильца"
Номер опубликования: 4501201904300002
Дата опубликования: 30.04.2019
Страница №40 из 45:
Увеличить