Официальное опубликование правовых актов
ОФИЦИАЛЬНОЕ ОПУБЛИКОВАНИЕ
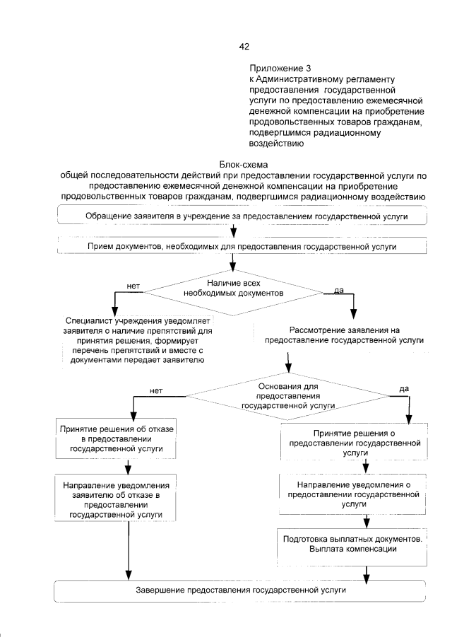
Приказ Главного управления социальной защиты населения Курганской области от 22.04.2019 № 175
"Об утверждении Административного регламента предоставления государственной услуги по предоставлению ежемесячной денежной компенсации на приобретение продовольственных товаров гражданам, подвергшимся радиационному воздействию"
Номер опубликования: 4501201904250002
Дата опубликования: 25.04.2019
Страница №42 из 47:
Увеличить