Официальное опубликование правовых актов
ОФИЦИАЛЬНОЕ ОПУБЛИКОВАНИЕ
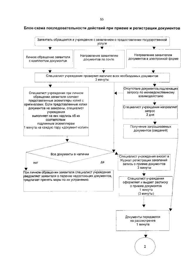
Приказ Главного управления социальной защиты населения Курганской области от 19.04.2019 № 171
"Об утверждении Административного регламента предоставления государственных услуг по назначению и выплате ежемесячного пособия женщинам, вставшим на учет в медицинских организациях Курганской области в ранние сроки беременности (до 12 недель), единовременного пособия при рождении (усыновлении) одновременно двух и более детей, ежемесячной денежной выплаты при рождении (усыновлении) третьего ребенка или последующих детей"
Номер опубликования: 4501201904240001
Дата опубликования: 24.04.2019
Страница №55 из 60:
Увеличить