Официальное опубликование правовых актов
ОФИЦИАЛЬНОЕ ОПУБЛИКОВАНИЕ
Приказ Главного управления социальной защиты населения Курганской области от 14.02.2019 № 64
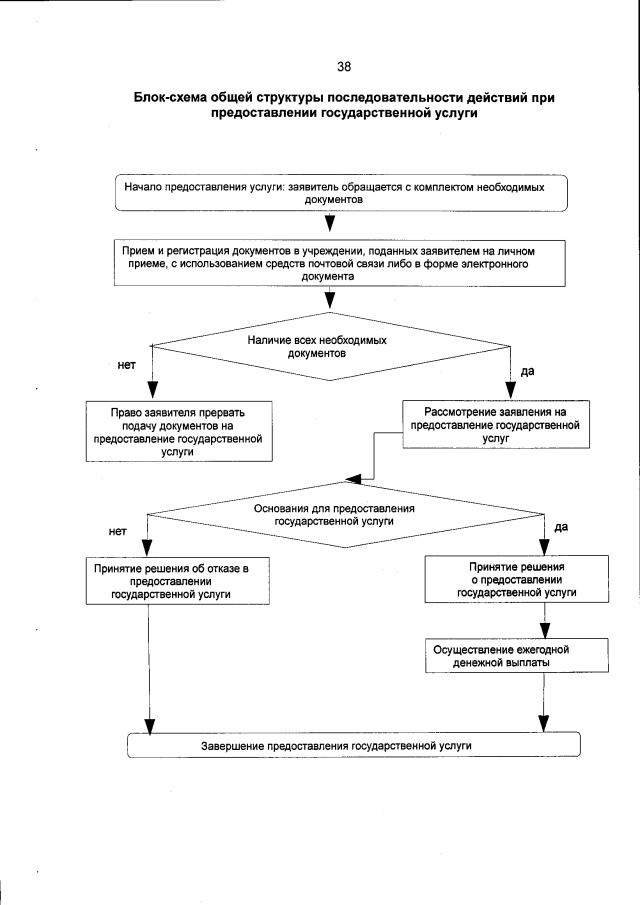
"Об утверждении Административного регламента предоставления государственной услуги по осуществлению ежегодной денежной выплаты лицам, награжденным нагрудным знаком "Почетный донор России"
Номер опубликования: 4501201902150001
Дата опубликования: 15.02.2019
Страница №38 из 43:
Увеличить