Официальное опубликование правовых актов
ОФИЦИАЛЬНОЕ ОПУБЛИКОВАНИЕ
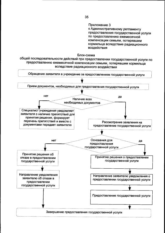
Приказ Главного управления социальной защиты населения Курганской области от 01.03.2018 № 120
"Об утверждении Административного регламента предоставления государственной услуги по предоставлению ежемесячной компенсации семьям, потерявшим кормильца вследствие радиационного воздействия"
Номер опубликования: 4501201803020002
Дата опубликования: 02.03.2018
Страница №35 из 39:
Увеличить