Официальное опубликование правовых актов
ОФИЦИАЛЬНОЕ ОПУБЛИКОВАНИЕ
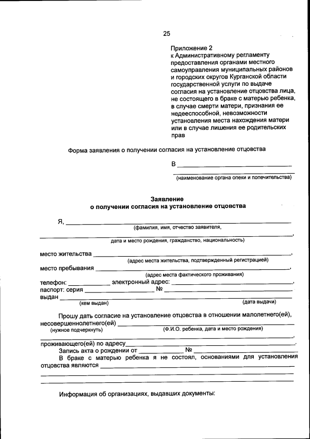
Приказ Главного управления социальной защиты населения Курганской области от 03.07.2017 № 359
"Об утверждении Административного регламента предоставления органами местного самоуправления муниципальных районов и городских округов Курганской области государственной услуги по выдаче согласия на установление отцовства лица, не состоящего в браке с матерью ребенка, в случае смерти матери, признания ее недееспособной, невозможности установления места нахождения матери или в случае лишения ее родительских прав"
Номер опубликования: 4501201707050001
Дата опубликования: 05.07.2017
Страница №25 из 32:
Увеличить