Официальное опубликование правовых актов
ОФИЦИАЛЬНОЕ ОПУБЛИКОВАНИЕ
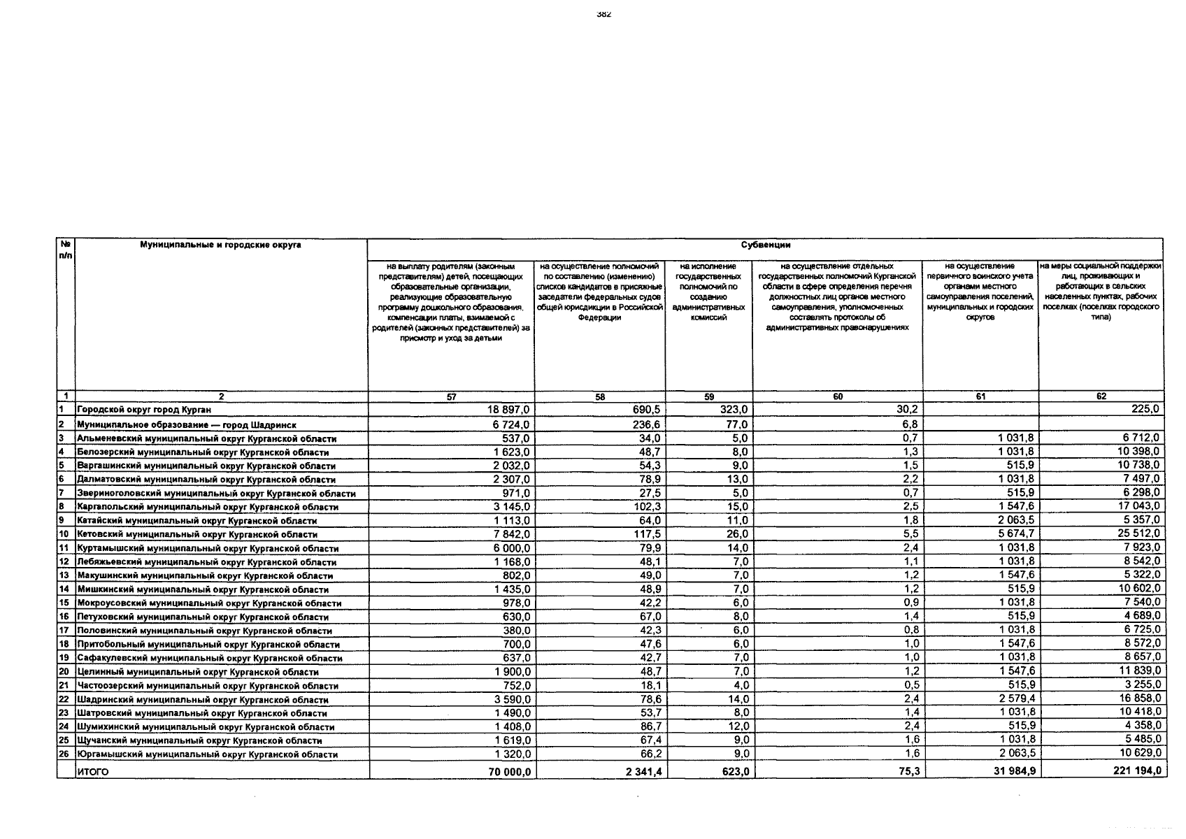
Закон Курганской области от 24.12.2025 № 69
"О внесении изменений в Закон Курганской области "Об областном бюджете на 2025 год и на плановый период 2026 и 2027 годов"
Номер опубликования: 4500202512250005
Дата опубликования: 25.12.2025
Страница №382 из 400:
Увеличить