Официальное опубликование правовых актов
ОФИЦИАЛЬНОЕ ОПУБЛИКОВАНИЕ
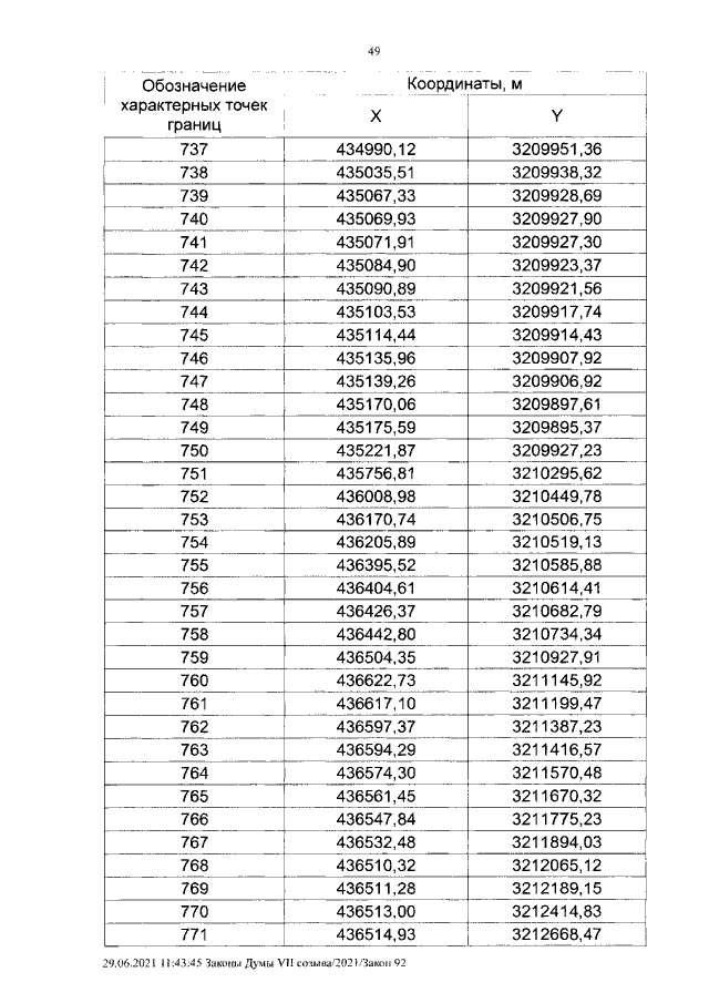
Закон Курганской области от 30.06.2021 № 102
"О внесении изменений в Закон Курганской области "Об установлении границ муниципального образования Варгашинского района Курганской области"
Номер опубликования: 4500202107020014
Дата опубликования: 02.07.2021
Страница №49 из 59:
Увеличить