Официальное опубликование правовых актов
ОФИЦИАЛЬНОЕ ОПУБЛИКОВАНИЕ
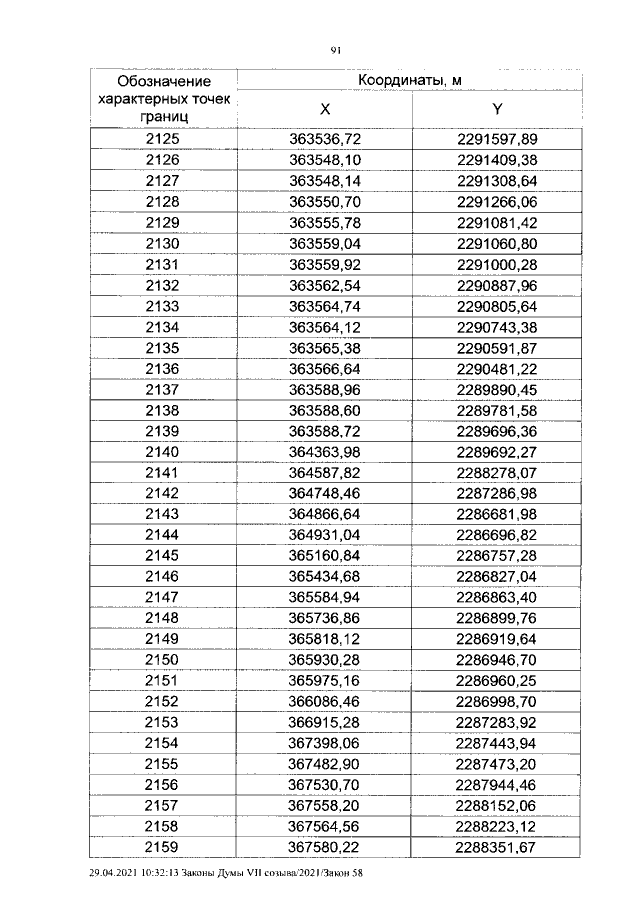
Закон Курганской области от 12.05.2021 № 53
"Об установлении границ муниципального образования Куртамышского муниципального округа Курганской области"
Номер опубликования: 4500202105140012
Дата опубликования: 14.05.2021
Страница №91 из 96:
Увеличить