Официальное опубликование правовых актов
ОФИЦИАЛЬНОЕ ОПУБЛИКОВАНИЕ
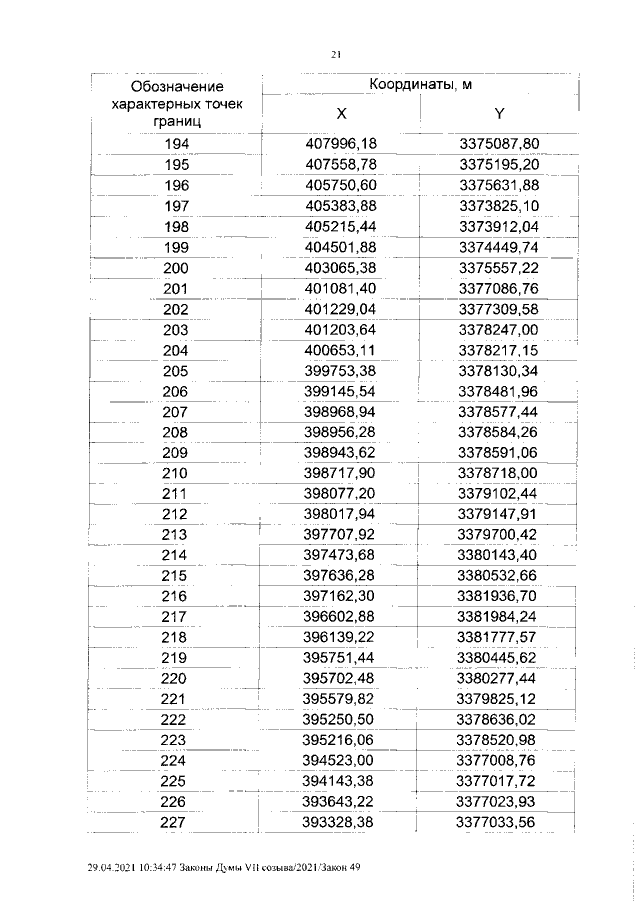
Закон Курганской области от 12.05.2021 № 54
"Об установлении границ муниципального образования Петуховского муниципального округа Курганской области"
Номер опубликования: 4500202105140010
Дата опубликования: 14.05.2021
Страница №21 из 34:
Увеличить