Официальное опубликование правовых актов
ОФИЦИАЛЬНОЕ ОПУБЛИКОВАНИЕ
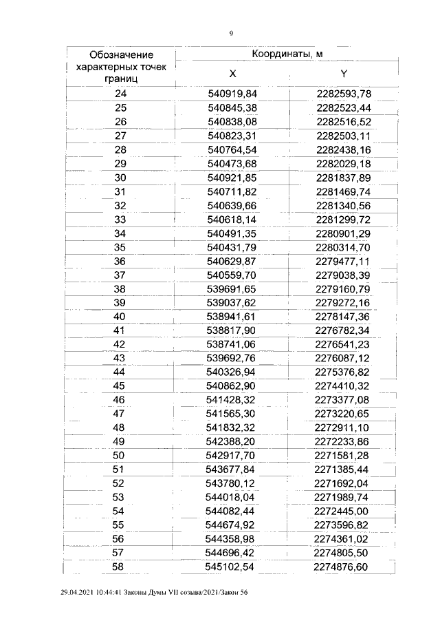
Закон Курганской области от 12.05.2021 № 58
"Об установлении границ муниципального образования Тарасовского сельсовета Шадринского района Курганской области"
Номер опубликования: 4500202105140006
Дата опубликования: 14.05.2021
Страница №9 из 10:
Увеличить