Официальное опубликование правовых актов
ОФИЦИАЛЬНОЕ ОПУБЛИКОВАНИЕ
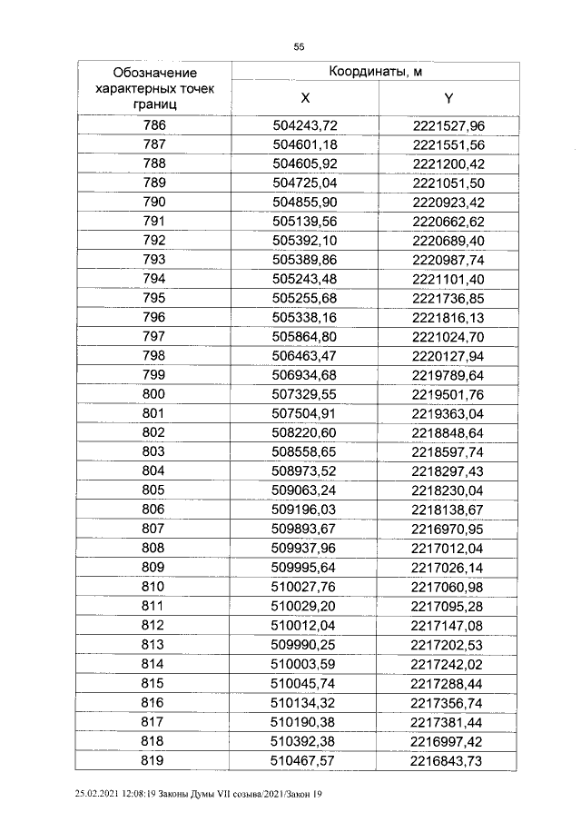
Закон Курганской области от 02.03.2021 № 19
"О внесении изменений в Закон Курганской области "Об установлении границ муниципального образования Далматовского района Курганской области"
Номер опубликования: 4500202103040001
Дата опубликования: 04.03.2021
Страница №55 из 68:
Увеличить