Официальное опубликование правовых актов
ОФИЦИАЛЬНОЕ ОПУБЛИКОВАНИЕ
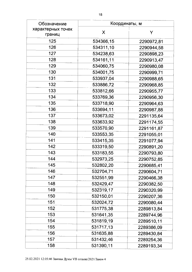
Закон Курганской области от 02.03.2021 № 18
"Об установлении границ муниципального образования Ольховского сельсовета Шадринского района Курганской области"
Номер опубликования: 4500202103030003
Дата опубликования: 03.03.2021
Страница №18 из 22:
Увеличить