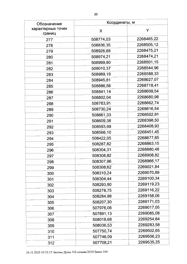
Закон Курганской области от 30.11.2020 № 112
"Об установлении границ муниципального образования Красномыльского сельсовета Шадринского района Курганской области"
"Об установлении границ муниципального образования Красномыльского сельсовета Шадринского района Курганской области"
Номер опубликования: 4500202012010014
Дата опубликования:
01.12.2020
